HÜSEYİN GÖKÇE/ANKARA
Türkiye gözünü Asgari Ücret Tespit Komisyonu’nun belirleyeceği 2026 yılı için geçerli olacak asgari ücrete çevirmiş durumda. En geç 10 gün içinde asgari ücret belirlenip ilan edilecek. Bu süreçte asgari ücretin alım gücü ve alım gücündeki kayba yönelik çok sayıda çalışma yapıldı. EKONOMİ’nin Merkez Bankası’nın konut fiyat endeksi verilerinden yaptığı analiz ise konut ihtiyacının pik noktaya ulaştığı bir dönemde, asgari ücretlinin konuta erişiminin neredeyse mümkün olmadığını ortaya koydu. Hesaplama maaşın yüzde 50’sine kadar kredi kullanılabildiği ve faizin yüzde 0 olduğu varsayımıyla yapıldı. Türkiye ortalamalarına göre bir asgari ücretlinin 90 metrekarelik konutu alabilmesi için 29 yıl çalışması gerekiyor, aynı konutu İstanbul’daki asgari ücretli ise 46 yılda ancak alabiliyor.
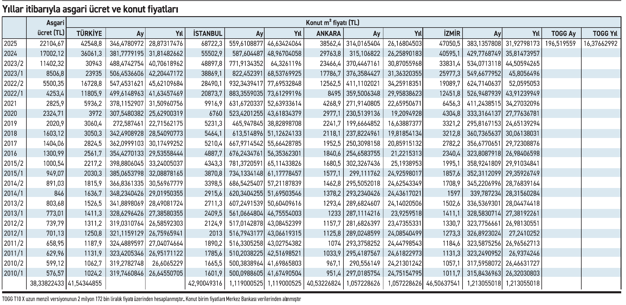
Asgari ücretin 2010 yılından bu yana gelişimine bakıldığında asgari ücret 577 liradan 22 bin 104 liraya çıkarak 38.3 kat artmış. Buna karşılık Türkiye’de ortalama konut metrekare birim fiyatı 1024 liradan 42 bin 548 liraya çıkarak 41 kat artış göstermiş. Aynı dönemde konut metrekare fiyatı 43 kat artarak 68 bin 722 liraya, Ankara’da 40 kat artarak 38 bin 562 liraya, İzmir’de ise 46 kat artarak 47 bin 50 liraya yükseldi.
Yüzde 25 artarsa süre 23 yıla iniyor
Hâlen bankacılık sisteminde bir müşteri aylık gelirinin en fazla yüzde 50’sine kadar kredi kullanabiliyor. Bu durumda 22 bin 104 lira alan asgari ücretlinin aylık ödeyebileceği taksit miktarı ise 11 bin 52 lira düzeyinde. Bu verileri esas alarak yapılan hesaplama, 90 metrekarelik bir konutun alınabilmesi için Türkiye ortalamalarına göre bir asgari ücretlinin 346.5 ay yani 29 yıl çalışması gerektiğini gösteriyor. Bu süre İstanbul’da 46.6 yıla karşılık gelen 559 ay, Ankara’da 314 aya karşılık gelen 26 yıl, İzmir’de ise 383 aya karşılık gelen 32 yıl düzeyinde.
Asgari ücretin 2026 yılında yüzde 25 artarak 27 bin 500 liraya çıkması durumunda ise 90 metrekarelik konutu satın alabilmek için asgari ücretlinin Türkiye ortalamalarına göre 278 ay yani 23 yıl çalışması gerekiyor.
İstanbul’da 449 aya karşılık gelen 37.5 yıl, Ankara’da 252 aya karşılık gelen 21 yıl ve İzmir’de 308 aya karşılık gelen 25.7 yıl çalışmasına ihtiyaç var.
TOGG için 16 yıl çalışmak gerekiyor
Hâlen 22 bin 104 lira alan bir asgari ücretlinin yerli elektrikli otomobil TOGG satın alabilmesi için 196 ay yani 16 yıl çalışması gerekiyor. Hesaplamada fiyatı 2 milyon 172 bin lira olan TOGG T 10 X uzun menzil versiyonu kullanıldı.